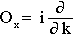
Positional Operator in k


Progressing similarly to the derivation of a momentum operator in x (and much more succinctly),
(1)
(2)
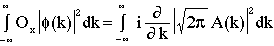
we combine
(3)
and solve for Ox.
(4)
(5).
(6)
(7)
(8)
(9)
(10)
(11)
(12).
(13)
(14)
(15)
(16).
(17)
Ah ha,
(18)