Producing the Maxwell-Ampere law in differential form

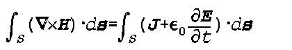
The Maxwell-Ampere law in intergral form:
(1)
Substituting from the relationship:
(2)
(3)
(4)
(5)
Applying Stoke's Thm:
(6)
(7)
Now, expressing the terms with respect to the area S:
(8)
(9)
(10)
(11)
(12)
So,
(13)
(14)
Finally, introducing D by the relation:
(15)
we get the Maxwell-Ampere law in differential form:
(16) |