The energy of an ideal gas



the box
A rigid box with cross-sectional area A and length delta x as shown has within it N particles, each of mass m. These particles are treated as an ideal gas: they are subject to no external fields, their size and density are such that interaction between particles is neglected and the energy of the particles is expressed purely as kinetic. The box's rigidity prevents it from either supplying or absorbing energy, so that the energy of the particles within remains constant. What is this energy?

The time between collisions in x for one of the particles is
(1)
where vx represents the x component of the particle's velocity. The force of a collision between one of the particles and the wall is
(2)
From eqn. 1, replacing delta t yields
(3)
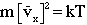
Assuming that this particle represents the average of the system, then
(4)
The force acting on a wall is the result of many such collisions, each on average contributing this force. By the symmetry of the box and isotropism of the space within it, there is no preferred direction, so expect half of the N particles to be moving toward either one of the two opposing walls. The combined force is
(5)
and the pressure is
(6)
The cross-sectional area is given by A, the length is delta x, and their product gives the volume, V. This replacement is made in the denominator.
(7)
And multiplying both sides by V gives
(8)
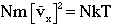
This equation relates an expression of externally imposed conditions (the left side) to an expression representing the internal state of the system (the right side). A description of the internal system state, temperature, is already is use, and is included in the ideal gas law.
(9)
Comparing this law with eqn. 8 gives
(10)
Signifying the apparent independence of N, this factor cancels from both sides.
(11)
And with a factor of one half attached to both sides, the left becomes an expression for average kinetic energy due to this direction.
(12)
The preceding argument can be applied to the independent y and z directions. Therefore,
(13)
(14)
The total kinetic energy, K, is the sum of these.
(15)
One of the underlying presumptions of this argument was that the energy of the particles is expressed purely as kinetic. Therefore, this must represent the total energy of the system, U.
(16)