Continuity of charge


Assuming conservation of charge, the change in enclosed charge, Qencl, of a region, delta v, must traverse its closing surface, delta S. Therefore,
(1)
or
(2)
Substituting for Qencl with
(3)
yields
(4)
delta v remains constant with respect to time, so
(5)
and an algebraic step gives
(6)
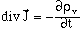
Taking the limit as the volume diminishes, yields
(7)
Now, recognizing the left side as the definition of divergence, given by
(8)
that side is replaced, producing

(9)