Differential Unity


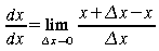
(1)  ??
---
(2)
(3)
(4)
(5)
Yes,
(1)